近日,我校信息工程学院周浩淼教授团队基于高灵敏度宽频带微弱磁场传感器的宽量程(60nm-350μm)高精度金属薄膜厚度测量系统取得突破性的进展。研究成果发表在机械电子领域TOP期刊《IEEE/ASME Transactions on Mechatronics》(中科院一区TOP期刊),论文题为“A Metal Film Thickness Measurement System With a Large Range Based on High-Performance ME Sensors”的研究论文。信息学院青年教师邱阳博士为本文第一作者,信息工程学院周浩淼教授和浙江大学集成电路学院任堃研究员为本文的共同通讯作者。

微纳尺度金属薄膜厚度的低成本高精度测量,对于保障各种微纳器件及集成电路中金属薄膜的制备质量和完整性至关重要。例如,在集成电路制备过程中,互连铜层平坦化加工时,需要实时监测nm量级铜膜厚度变化及其均匀性,以便精确控制化学机械抛光工艺参数和时间。然而,开发具有低成本宽量程高精度的金属薄膜厚度测量系统仍然是一个挑战。




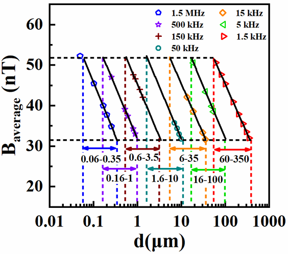
该研究首先从电涡流多物理场耦合相关理论出发,指出对于理想金属薄膜,测量磁场的幅值与待测金属薄膜厚度的对数在特定区间内存在高度线性关系,并且可以通过调节激励磁场频率改变厚度测量范围,即随着厚度测量范围的减小,需要的激励磁场频率越大,磁传感器带宽越大。随后,基于磁电效应,由磁致伸缩材料及压电材料制备了在1.5 kHz-1.5 MHz带宽内检测范围覆盖30 pT–100 nT的高灵敏磁电传感器,并且利用交流信号源、激励线圈、样品台、磁电传感器、锁相放大器、数据采集卡和计算机构建了测量范围达60 nm-350 μm的金属薄膜厚度测量系统。最终,利用该系统测试了多组铜膜样品的厚度,测量误差在1%以内。所设计的基于磁电传感器的金属薄膜厚度测量系统有望满足电子器件、光学器件和光电器件制备过程中对金属薄膜的各种测量需求。该研究得到了国家重点研发计划项目(2023YFF0616803),国家自然科学基金项目(11972333)、浙江省自然科学基金重点项目(LZ23A020002) 等项目的支持。
全文链接:https://ieeexplore.ieee.org/abstract/document/10832411